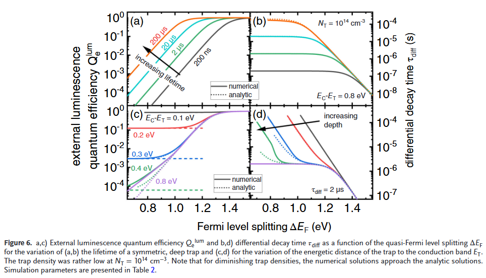
在卤化物钙钛矿研究领域中,缺陷辅助复合通常被视为一级复合过程,即复合速率与载流子浓度呈线性关系。然而,标准的Shockley-Read-Hall(SRH)统计理论自然预测:缺陷辅助复合的载流子密度依赖性可在线性与二次方之间变化,具体取决于缺陷能级的位置。在本征半导体中,缺陷越浅,其复合速率越倾向于与载流子密度的平方成正比,且在瞬态实验中其行为越接近辐射复合。
本文德国于利希研究中心Thomas Kirchartz等人系统讨论了缺陷深度(尤其是浅缺陷)对应用于光伏或光电器件的卤化物钙钛矿样品在稳态和瞬态光致发光实验中的理论影响。
文章亮点
- 挑战传统认知:文章指出,浅缺陷在卤化物钙钛矿中可能主导非辐射复合过程,而非传统认为的深缺陷。浅缺陷的存在使得复合行为更接近二次方依赖,而非线性。
- 理论与实验结合:通过结合第一性原理计算、SRH统计理论与瞬态/稳态光致发光数据,文章提供了浅缺陷对光致发光量子效率和衰减动力学的定量分析框架。
- 提出新分析方法:文章建议使用“微分复合系数”而非传统的“衰减时间”来分析瞬态PL数据,尤其在存在光掺杂(photodoping)效应时,该方法更具鲁棒性和可比性。














J. Hüpkes, U. Rau, and T. Kirchartz, “ Impact of Trap Depth on the Steady-State and Transient Photoluminescence in Halide Perovskite Films.” Adv. Energy Mater. (2025): e03157.
https://doi.org/10.1002/aenm.202503157
索比光伏网 https://news.solarbe.com/202509/22/50009112.html

